БЕТОНЫ ДИЛАТОМЕТРИЧЕСКИЙ МЕТОД УСКОРЕННОГО ОПРЕДЕЛЕНИЯ МОРОЗОСТОЙКОСТИ ГОСТ 10060.3-95
Дата введения 1996-09-01
1. Область применения
Настоящий стандарт распространяется на тяжелые и легкие бетоны на цементном вяжущем, кроме бетонов дорожных и аэродромных покрытий.
Стандарт не распространяется на бетон с добавками полимерного вяжущего.
Стандарт устанавливает ускоренный дилатометрический (четвертый) метод определения морозостойкости при однократном замораживании.
2. Нормативные ссылки
В настоящем стандарте использованы ссылки на следующие стандарты:
ГОСТ 8.018-82 ГСИ. Государственный первичный эталон и государственная поверочная схема для средств измерений температурного коэффициента линейного расширения твердых тел в диапазоне температур 90-1800 К.
ГОСТ 10060.0-95 Бетоны. Методы определения морозостойкости. Общие требования.
ГОСТ 10060.1-95 Бетоны. Базовый метод определения морозостойкости.
ГОСТ 10180-90 Бетоны. Методы определения прочности по контрольным образцам.
ГОСТ 10181.0-81 Смеси бетонные. Общие требования к методам испытаний.
ГОСТ 23732-79 Вода для бетонов и растворов. Технические условия.
ГОСТ 28570-90 Бетоны. Методы определения прочности по образцам, отобранным из конструкций.
3. Определения
3.1. В настоящем стандарте приняты термины и определения по ГОСТ 10060.0.
3.2. Стандартный образец - образец, входящий в комплект дилатометра, изготовленный из того же материала, что и дилатометр.
4. Средства испытания и вспомогательные устройства
4.1. Оборудование для изготовления и испытания бетонных образцов должно соответствовать требованиям ГОСТ 10180.
4.2. Дифференциальный объемный дилатометр в комплекте со стандартными образцами. Стандартный образец должен иметь одинаковую форму и размеры с бетонными образцами.
4.3. Ванны для насыщения образцов.
4.4. Керосин.
4.5. Вода по ГОСТ 23732.
5. Порядок подготовки к проведению испытания
5.1. Бетонные образцы изготавливают и отбирают по 4.5 - 4.10 ГОСТ 10060.0 и ГОСТ 28570.
5.2. Бетонные образцы измеряют, определяют начальный объем Vo и насыщают водой по 4.11 ГОСТ 10060.0.
6. Порядок проведения испытания
6.1. Насыщенный образец бетона помещают в измерительную камеру дилатомера, во вторую помещают стандартный образец, камеры заполняют керосином и герметизируют.
6.2. Дилатометр с образцами устанавливают в морозильную камеру и выдерживают 30 мин, затем начинают замораживание со скоростью 0,3°С/мин до достижения температуры минус (18±2)°С.
Графопостроитель во время замораживания непрерывно фиксирует кривую разности объемных деформаций бетонного и стандартного образцов (рисунок 1).
Рисунок 1 - График зависимости разности объемных деформаций бетонного и стандартного образцов от температуры замораживания
6.3. На графике выделяют скачкообразное изменение разности объемных деформаций np обусловленное переходом воды в лед.
6.4. Определяют значение максимального относительного увеличения разности объемных деформаций Θi бетонного и стандартного образцов по формуле

где ni - значение максимальной разности деформаций бетонного и стандартного образцов при замерзании воды в бетоне, см;
с - постоянная дилатомера, см³/см (принимают по паспорту на прибор);
V0 - начальный объем бетонного образца, см³.
6.5. Максимальную относительную разность объемных деформаций Θ бетонных и стандартных образцов при замораживании определяют как среднеарифметическое значение серии из трех бетонных образцов.
6.6. Марку бетона по морозостойкости F определяют по максимальной относительной разности объемной деформации бетонных и стандартных образцов по таблице 1 с учетом вида бетона, формы и размера образцов.
7. Правила обработки результатов испытаний
7.1. Марку бетона по морозостойкости F, выраженную в циклах переменного замораживания и оттаивания в воде, определяют по графику на рисунке 2 или по таблице 1.
1 - для тяжелого бетона; 2 - для легкого бетона Рисунок 2 - График зависимости морозостойкости бетона от Θi - максимального относительного увеличения разности объемных деформаций бетонного и стандартного образцов при замораживании
Таблица 1
| Форма и размер образца, мм |
Вид бетона |
Максимальное увеличение разности объемной деформации бетонного и стандартного образцов Θ⋅10-3 для марки бетона по морозостойкости |
| F25 |
F35 |
F50 |
F75 |
F100 |
F150 |
F200 |
F300 |
F400 |
F500 |
F600 |
F800 |
F1000 |
| Куб с ребром 100 |
Тяжелый |
>3,80 |
3,80 - 3,60 |
3,60 - 3,50 |
3,50 - 2,40 |
2,40 - 1,70 |
1,70 - 1,00 |
1,00 - 0,65 |
0,65 - 0,33 |
0,33 - 0,20 |
0,20 - 0,18 |
0,18 - 0,08 |
0,08 - 0,05 |
<0,05 |
| Легкий |
|
3,60 |
3,50 |
2,40 |
1,70 |
1,00 |
0,65 |
0,33 |
0,20 |
0,18 |
0,08 |
0,05 |
- |
| Цилиндр с диаметром и высотой 70 |
Тяжелый |
>6,00 |
6,00-5,00 |
5,00-3,80 |
3,80-3,25 |
3,25-1,90 |
1,90-1,30 |
1,30-0,75 |
0,75-0,40 |
0,40-0,25 |
0,25-0,18 |
0,18-0,09 |
<0,09 |
- |
| Легкий |
>7,00 |
7,00-6,00 |
6,00-5,00 |
5,00-3,80 |
3,80-3,40 |
3,40-2,80 |
<2,80 |
- |
- |
- |
- |
- |
- |
7.2. Марку бетона по морозостойкости F принимают соответствующей требуемой, если среднеарифметическое значение Θср серии бетонных образцов меньше максимального относительного увеличения разности объемной деформации Θ бетонных и стандартного образцов, указанного в таблице 1.
При совпадении среднеарифметического значения Θср серии бетонных образцов с граничными значениями диапазона назначают меньшую по значению марку бетона по морозостойкости.
7.3. Исходные данные и результаты определения морозостойкости заносят в журнал по форме, приведенной в приложении А.
7.4. Пример ускоренного определения морозостойкости бетона с обработкой результата приведен в приложении Б.
ПРИЛОЖЕНИЕ А (обязательное)
ФОРМА ЖУРНАЛА УСКОРЕННОГО ОПРЕДЕЛЕНИЯ МОРОЗОСТОЙКОСТИ БЕТОНА ДИЛАТОМЕТРИЧЕСКИМ МЕТОДОМ
| Номер образца |
Дата изготовления образца |
Размер образца, мм |
Объем образца V0, см³ |
Дата испытания |
Показатели морозостойкости бетона |
Марка бетона по морозостойкости F |
| ni, см |
Θi, отн. |
М, цикл |
| |
|
|
|
|
|
|
|
|
Начальник подразделения (лаборатории) _____________ (подпись) _____________________ (Ф.И.О.)
Ответственное лицо, проводившее испытание _____________ (подпись) _____________________ (Ф.И.О.)
ПРИЛОЖЕНИЕ Б (информационное)
ПРИМЕР УСКОРЕННОГО ОПРЕДЕЛЕНИЯ МОРОЗОСТОЙКОСТИ БЕТОНА
1. Исходные данные
Испытанию подлежит бетон следующего состава, кг/м³: цемент - 332, щебень - 1310, песок - 590, вода - 177.
Материалы для изготовления бетона: цемент завода «Гигант» ПЦ-400, гранитный щебень Академического карьера фракции 5-20 мм, песок тучковский Мкр = 1,87. Изготавливают три образца бетона размером 100×100×100 мм и помещают в камеру нормального твердения.
Требуется определить морозостойкость бетона в возрасте 28 сут.
2. Определение показателя морозостойкости
2.1. Образцы бетона насыщают водой по 4.11 ГОСТ 10060.0.
2.2. Насыщенный образец помещают в измерительную камеру дилатометра, во вторую камеру помещают стандартный образец, затем обе камеры заполняют керосином и герметизируют.
2.3. Дилатометр с образцами устанавливают в морозильную камеру и после 30 мин выдержки начинают замораживание со скоростью 0,3 °С/мин до достижения температуры минус (18±2)°С.
2.4. На графике показателя разности объемных деформаций бетонных и стандартного образцов находят скачкообразное изменение ni для каждого образца из серии
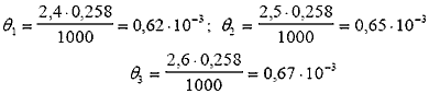
n1 = 2,4 см; n2 = 2,5 см; n3 = 2,6 см.
2.5. Определяют значение максимального относительного увеличения разности объемных деформаций бетонных и стандартного образцов Θi по формуле (1)

где с = 0,258 см³/см (с - постоянная дилатометра)

2.6. Вычисляют среднеарифметическое значение максимального относительного увеличения разности объемных деформаций бетонных и стандартного образцов при замораживании для серии из трех образцов

2.7. По таблице 1 определяют марку бетона по морозостойкости, которая составляет согласно 7.2 F200.
|